材料的维度与其物理化学性质密切相关,低维材料是当前微纳材料研究的一个重要方向,维度降低使得电荷流动和存储更易操控,有望催生新的输运物理和电子学功能。尤其是其中的一维材料(如碳纳米管等)具有高曲率表面和极小的体积,可用于构建小型化的高速存储单元。但这一电荷存储方案依赖于场效应晶体管(field-effect transistors, FETs)架构,这就需要寻找具有良好半导体性质的一维结构作为沟道材料来构建这种微型存储器。另一方面,将二维半导体材料,如单层二硫化钼(MoS2),从二维纳米片(2D sheets)通过卷曲操作转化为一维纳米卷(1D nanoscrolls)可显著改变其光电特性。这种同样具有高曲率表面的一维材料具有极大的电荷存储潜力(包括擦写速度、可调性和电荷捕获机制等)。然而,目前MoS2纳米卷的可控制备仍是一项巨大的挑战,这限制了其在电子器件方面的应用开发。
针对上述问题,上海科技大学物质科学与技术学院纪清清课题组开发了一种改进的溶剂诱导卷曲工艺,通过调控二维材料的预应力并将卷曲过程中止在中间状态,获得了具有高轴向均匀性的MoS2纳米卷。据此制备的纳米卷存储器表现出~104的开/关比和超过103秒的保持时间,并可以通过脉冲栅压实现多级存储。相关研究结果近期发表在国际知名学术期刊Nano Letters上。
为了制备轴向均匀的纳米卷,研究人员将化学气相沉积生长的单层MoS2浸泡在乙醇中数小时,部分释放晶格的拉伸应力;随后在此样品表面滴加一滴乙醇并自然干燥,当观察到纳米片开始卷曲时,迅速用气枪吹干表面残存溶液,由此得到MoS2纳米卷(图1)。通过这种方法,实现了对影响卷曲过程的两大因素(薄膜内应力及马兰戈尼效应)的控制,从而使纳米卷的轴向均匀性得到了保证,这也在图2的形貌及光谱表征中得到验证。

图1.通过改进的溶剂蒸发诱导卷曲工艺制备MoS2纳米

图2.结构和光谱表征证明MoS2纳米卷良好的轴向均匀性
研究人员在SiO2/Si基底上制备了单层MoS2和MoS2纳米卷的场效应晶体管,两者均表现出n型半导体特性。在循环栅压(Vg)扫描下,纳米卷器件展现出巨大并且可调的迟滞窗口,但开/关比与单层器件相比显著降低,表明纳米卷中存在与陷阱态相关的费米能级钉扎效应(图3)。
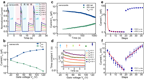
为了进一步研究纳米卷器件的电荷存储机制,研究人员对其施加Vg脉冲用于电导态擦写(图4)。在此过程中,正Vg可以促使电子注入到陷阱态中,在撤掉Vg后,陷阱态中的电子弛豫受限难以贡献电导,纳米卷被编程为高电阻状态(HRS)。相反,负Vg可以促使被困载流子的释放,使器件被编程为低电阻状态(LRS)。图4展示了“擦除-读取-写入-读取”全过程的能带图,突出了电荷陷阱态在调控纳米卷器件存储功能中的关键作用。
在理解纳米卷电荷捕获机制的基础上,研究人员进一步探索了MoS2纳米卷中电荷的动态弛豫过程(图5),发现LRS和HRS下的源漏电流(Ids)与Vg脉冲振幅分别呈线性和指数关系,表明了陷阱态的能量分布较宽,这也使得该纳米卷器件对不同振幅的Vg脉冲产生不同的响应。此外,纳米卷的小体积使得该器件能够通过极少的电荷量完成存储操作,在脉冲宽度小于100 μs的Vg下仍可实现电阻态的稳定编程(开/关比几无变化),相关成果有望用于高速存储器的开发。

图3.MoS2纳米卷场效应晶体管的电学特性

图4.MoS2纳米卷中的电荷捕获机制

图5.MoS2纳米卷器件中的载流子捕获和弛豫动力学
这一工作成功实现了高轴向均匀性的一维MoS2纳米卷的制备,这种两端开放、高曲率和小体积的一维纳米结构表现出稳定可调的电学迟滞窗口,并且实现了高Vg下的快速开关切换以及低Vg下的多级电导编程,为存储器件的微型化拓展了全新的思路。


